刚度:材料在受力时,抵抗弹性变形的能力。
E=σ/ε
σ:拉应力;ε:拉伸应变
组织不敏感的力学性能指标,合金化、热处理、冷塑性变形对其影响不大。
机构和构件选材重要的力学性能指标:
►行车梁应具有足够的刚度,否则在起吊重物时会因挠度过大引起振动。
►机床和压力机主轴、床身和工作台对刚度都有要求,以保证加工精度。
►内燃机、离心机和压气机等的主要构件要有足够的刚度防止发生振动。
硬度
材料局部表面抵抗塑性变形和破坏的能力。
它是衡量材料软硬程度的指标,其物理含义与试验方法有关。
硬度的测试方法:布氏硬度、洛氏硬度、维氏硬度、肖氏硬度、里氏硬度、莫氏硬度
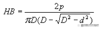
(1)布氏硬度
单位面积上所承受的平均应力,即试验力p与压痕球形表面积的商。

< 450HB:测试压头为淬火钢球,硬度符号HBS;
<650HB:测试压头为硬质合金,硬度符号HBW。
经验公式:
低碳钢:σb≈3.6HBS;
高碳钢:σb≈3.4HBS。
适用范围:用于测量灰铸铁、结构钢、非铁金属及非金属材料等.
优缺点:
测量值较准确,重复性好; 可测组织不均匀材料; 不适合测试成品与薄件; 测量费时,效率低。
(2)洛氏硬度
以测量压痕深度表示材料的硬度值,每0.002mm相当于1洛氏硬度单位。
压头分两种:
1、圆锥角α=120°的金刚石圆锥体,
2、直径为Φ1.588mm的小淬火钢球。
洛氏硬度计算式:
HR=(k-h)/ 0.002
压头1:k=0.2mm;压头2:k=0.26mm。







